Hallo zusammen,
ich bin heute mal bei einer KÜS-Prüfstelle vorbei gefahren und habe gefragt wie es mit einer H-Zulassungsprüfung aussehen würde...
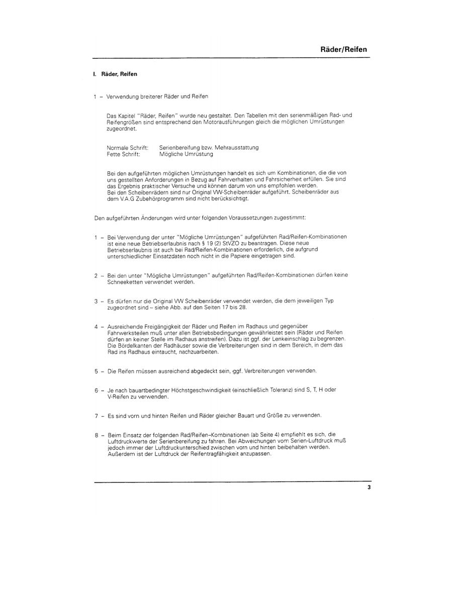
Er ist dann ums Auto gegangen, hat ein paar Kratzer bemängelt, die man aufarbeiten müsse und er meinte, dass ich für die Felgen irgendwelche Papiere bräuchte, die man über die KBA Nummer finden kann.
Außerdem sind meine Rückleuchten dunkel - er meinte da müsse man auch schauen...
Alle die Teile sind schon auf dem Auto seit ich es vor 21 Jahren gekauft habe und Ich kenne mich mit diesem Thema von Zulassungen irgdendwelcher Teile überhaupt nicht aus. Ich hoffe ihr könnt mir helfen!?
Zu den Felgen:
Da sind ganz normale VW BBS Felgen mit der KBA Nr. 40638
Was muss ich ihm da vorlegen?? Kann mir da jemand weiter helfen?
Und die Rücklichter sind halt irgendwie getönt.
Aber wie gesagt, die waren auch schon immer so...
brauche ich da auch irgendwelche Papiere für?
Würde mich sehr über eure Hilfe freuen!